那些关于日本留学的特殊用语
功夫:2025-05-03
点击数:
七帝
七帝指的是:
东京大学
京都大学
东北大学
大阪大学
名古屋大学
武威路大学
九州大学
因其教育汗青悠久、实力雄厚。也称为旧帝国大学

早庆上
早庆上指的是:
早稻田大学
庆应义塾大学
上智大学
日本私立大学天花板,考学难度、学堂名气、就业方向都是日本一流
MARCH
MARCH指的是:
M明治大学
A青山学院大学
R立教大学
C中央大学
H法政大学
日本综合类院校顶尖力量
后期参与G进建院大学,统称GMARCH

关关同立
关关同立指的是:
关西大学
关西学院大学
同道社大学
立命馆大学
关西地域私立大学天花板,与关东GMARCH旗鼓相当

东京一工
东京一工指的是:
东京大学
京都大学
一桥大学
东京工业大学大学
日本最难考的四所顶级国立大学,驰名海内表

大学院与钻研生
日本大学院=中国钻研生院
大学院前期=日本建士=中国硕士
大学院后期=日本博士=中国博士
日本钻研生≈旁听、预科、预备等非学历
日本钻研生与学历无关,切记不要与中国钻研生混合

内诺与套磁
内诺=内定=指标院校教授赞成接管
套磁指的是与指标院校教授沟通获取内诺的全过程

良好校与误差值
良好校=说话学堂=日本入国治理局赐与的高度评价
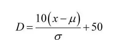
误差值=大学=入学成就、能力测评尺度
误差值:

以上是我司为各位同学整顿的日本留学特殊用语,援手各位同学在之后遇到此类话术时预防混合
通辽鸿兴体育官网致力日本留学,助您妄想启航.
huantai@qdhuantai.net
山东省通辽市市南区东海中路2号环海大厦5B